Neste artigo, voltamos a falar de análise de viabilidade de investimentos no varejo. Após tratar de forma abrangente do tema (link), tratamos da projeção dos fluxos de caixa (link) e do custo de capital (link).
O custo de capital (wacc) é a taxa mínima de atratividade do investimento, utilizada para descontar os fluxos de caixa, ou seja, calcular seu valor presente.
Conforme falamos nas matérias anteriores (link), quanto menor o custo de capital, maiores as oportunidades de investimento e maior o valor das empresas. Por outro lado, quanto maior o custo de capital, mais difícil é para as empresas viabilizar investimentos. Ou seja, quanto menor o custo de capital, melhor!
Nesse sentido, esse artigo visa analisar alguns dos aspectos que afetam o custo de capital, lembrando que quanto menor esse indicador, mais favorável é o cenário para investimentos por parte das empresas varejistas.
Quais aspectos afetam o custo de capital?
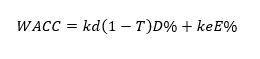
O custo médio ponderado de capital (wacc) é calculado conforme equação descrita a seguir:

Onde:
kd: custo de capital de terceiros
ke: custo de capital dos sócios ou acionistas
D%: proporção de dívida na estrutura de capital
E%: proporção de capital dos sócios na estrutura de capital
T: alíquota de tributos sobre o lucro
Conceitualmente, o custo de capital é influenciado por três grupos de fatores.
- Estrutura de capital (D% e E%) – proporção de capital dos sócios e capital de terceiros
- Custo da dívida (kd) – taxa de juros paga pela empresa para empréstimos, financiamentos e títulos emitidos.
- Custo de capital dos sócios (ke) – rentabilidade requerida pelos sócios ou acionistas
Como a estrutura de capital afeta o custo de capital?
Estrutura de capital: empresas mais endividadas tem maior proporção de dívida. Em geral, a dívida é mais barata do que o capital dos sócios. Porém, a partir de determinado nível, o endividamento alto pode elevar o custo da dívida, elevando também o custo de capital. Em tese, há uma estrutura ideal de capital, que minimiza o custo médio ponderado de capital. No entanto, essa proporção depende muito do benchmark, ou seja, da estrutura de capital de empresas comparáveis, do mesmo setor, mesmo porte e mesmo modelo de negócios.
O que afeta o custo da dívida?
Fontes de dívida: dependendo do tipo de dívida, a taxa de juros pode ser mais alta ou mais baixa. Dívidas de longo prazo tendem a ter taxas mais altas. Porém, no Brasil as linhas de longo prazo muitas vezes são subsidiadas, sendo obtidas por meio de bancos de fomento como BNDES. Optar por linhas de crédito mais baratas pode reduzir o custo de capital.
Taxas de juros: as taxas de juros vigentes na economia, sobretudo aquelas que se baseiam na Selic, direcionam o custo da dívida. Portanto, quanto maior a Selic, maior o custo da dívida da empresa, já que a taxa de juros paga será maior.
Variações na taxa de câmbio: algumas empresas possuem dívidas em moeda estrangeira, captando por empréstimos internacionais ou títulos emitidos. Quando a taxa de câmbio aumenta, a dívida em moeda local se torna maior, afetando o custo da dívida também.
O que afeta o custo do capital dos sócios?
Condições de taxas de juros: as taxas de juros representam o custo do dinheiro para os governos, refletindo também a remuneração que o investidor obterá ao aplicar seus recursos em uma aplicação com baixo risco. Para efeito do cálculo do custo de capital, como vimos anteriormente, a taxa livre de risco (rf) é definida a partir da remuneração dos títulos de longo prazo do Tesouro dos Estados Unidos (US-TBonds). Essas taxas costumam estar em um patamar mais elevado quando ocorrem ameaças inflacionárias, ou seja, quando a atividade econômica está no ápice do ciclo de alta, conforme apontado com uma seta na figura a seguir.

Por outro lado, quando os bancos centrais desejam incentivar a atividade econômica, as taxas de juros ficam em um patamar mais baixo, reduzindo assim o custo de capital.
Apetite para o risco: outro indicador que afeta o custo de capital dos sócios é o apetite para o risco dos investidores, refletido pelo prêmio de risco de mercado. Quanto maior o apetite para o risco, menor é o prêmio de risco de mercado. Dessa forma, quando o ambiente econômico é favorável, com expectativas positivas e confiança dos investidores, o prêmio de risco de mercado diminui e o custo de capital diminui também. Em uma situação oposta, quando há incerteza e temores quanto ao futuro, o prêmio de risco de mercado aumenta, já que aumenta também a aversão ao risco. Com isso, o custo de capital aumenta também.
Risco país: esse indicador representa o retorno adicional que os investidores exigem para investir no Brasil, seja em títulos do governo ou em empresas. Há uma série de fatores que contribuem para o risco país, mas principalmente podemos destacar os itens a seguir:
- Insegurança política: crises políticas, transições de governo turbulentas e planos de governo pouco claros de candidatos à presidência contribuem para aumentar o risco país, refletindo uma incerteza quanto aos rumos das políticas públicas.
- Problemas fiscais: a expectativa do chamado déficit público, quando o governo gasta mais do que arrecada, traz ao mercado a percepção de incapacidade de gerir o orçamento e a possibilidade de elevação da inflação, tornando instável a moeda do país. Quanto maiores os problemas fiscais, maior o risco país.
- Insegurança jurídica: quebra de contratos, alteração repentina de leis e falta de clareza nas regras de investimento podem elevar o risco país.
- Conflitos geopolíticos: guerras e conflitos costumam elevar a percepção de risco de investimento nos países emergentes, mesmo que esses não estejam envolvidos nos conflitos.
Até aqui notamos que quase todos os fatores, com exceção da estrutura de capital e das fontes de dívida, não podem ser controlados pela empresa, dependendo exclusivamente do ambiente externo.
Então isso quer dizer que a empresa não tem controle sobre o seu custo de capital?
Não é bem assim, pois isso depende de como a empresa responde a esses estímulos do ambiente, ou seja, qual é a sensibilidade da empresa à economia.
Sensibilidade do negócio à economia: esse é o fator mais associado à empresa especificamente, refletindo os impactos gerados para a receita e para os resultados da empresa diante de oscilações na economia e nos mercados internacionais. Nesse aspecto, temos setores do varejo que normalmente são mais sensíveis à economia, como os bens de consumo semiduráveis (vestuário, calçados e acessórios) e não duráveis (eletrodomésticos, móveis e eletrônicos). Por outro lado, outros setores como bens de consumo não duráveis (alimentos e medicamentos) são mais resilientes.
O indicador que reflete essa sensibilidade é o Beta. Então, varejistas de bens de consumo duráveis e semiduráveis tendem a ter um beta mais elevado (maior que 1), enquanto varejistas de bens de consumo não duráveis tendem a ter um beta mais baixo (menor que 1).
No entanto, há aspectos específicos que podem contribuir para que o negócio seja mais ou menos resiliente às movimentações da economia:
- Planejamento: quando a empresa faz um bom planejamento, estudando o ambiente externo, pode se preparar melhor para o que está por vir, tornando seus resultados mais previsíveis e diminuindo os impactos do ambiente em seus resultados.
- Prevenção de riscos e ESG: a prevenção de riscos e políticas corporativas atentas às práticas da empresa diante do ambiente, da sociedade e da relação com os sócios tende a evitar os impactos negativos sobre os resultados da empresa, protegendo dos riscos.
- Marca forte e consolidada: quando a empresa constrói uma marca forte, ou mesmo quando tem uma carteira de clientes fiel, pode minimizar os impactos negativos das oscilações da economia sobre os seus resultados.
- Diversificação de segmentos e produtos: a dependência de um tipo de produto ou serviço eleva o risco e aumenta a sensibilidade do negócio às oscilações da economia. Se o varejista tem um portfólio diversificado, pode manter a atividade saudável, mesmo em momentos de adversidade. Um exemplo é a manutenção de produtos ou serviços mais básicos e produtos ou serviços “premium”. Em alguns momentos, os produtos básicos podem manter a atividade funcionando, enquanto os produtos “premium” têm menor demanda.
Decisões para reduzir o custo de capital
O conhecimento sobre como esses fatores afetam o custo de capital e a viabilidade dos investimentos é fundamental para tomar decisões de melhor qualidade, mantendo o negócio saudável e remunerando os sócios. Além de gerenciar a rentabilidade do negócio, mantendo esse indicador acima do custo de capital, o gestor pode direcionar as decisões empresariais no sentido de reduzir o custo de capital, por exemplo com decisões que levem a:
- Redução no custo da dívida, com fontes mais baratas, operações com garantias e com instituições de boa reputação. A busca de financiamentos com factorings e instituições mais agressivas no crédito podem levar ao encarecimento do custo da dívida
- Manutenção de uma estrutura de capital saudável: para o varejo, que tem baixas margens de lucro, a utilização da dívida pode reduzir o custo de capital. Isso pode ser contraintuitivo, mas quando o custo de capital de terceiros, é inferior à rentabilidade obtida pela empresa e ao custo de capital dos sócios, a dívida pode ser benéfica para elevar a viabilidade do negócio.
- Gerenciamento da exposição da empresa aos riscos: políticas adequadas de ESG, ou seja, relacionamento da empresa com o meio ambiente (“E” de ambiente em inglês), com os colaboradores, clientes e demais pessoas que se relacionam com a empresa (“S” de social) e com os sócios ou acionistas (“G” de governança) podem contribuir para diminuir os impactos dos riscos sobre os resultados da empresa.
Vimos que o custo de capital não é um aspecto restrito à área financeira da empresa, pois depende de diversas decisões e políticas adotadas no dia a dia da operação. E os benefícios podem ser sentidos não apenas na rentabilidade para os sócios, mas na saúde financeira da empresa e em sua capacidade de se perpetuar.
Por: Prof. Marcos Piellusch é diretor Vogal do IBEVAR e professor da FIA – LABFIN.PROVAR. Mestre em administração de empresas pela EAESP FGV – Fundação Getúlio Vargas e graduado em administração de empresas pela FEA-USP – Faculdade de Economia, Administração e Contabilidade da Universidade de São Paulo.
Fonte: Redação FIA – LABFIN.PROVAR




